进化与发育的变分统一:自由能视角下的自然选择

来源:CreateAMind
A Variational Synthesis of Evolutionary and Developmental Dynamics
《进化与发育的变分统一:自由能视角下的自然选择》
https://arxiv.org/pdf/2303.04898
https://www.mdpi.com/1099-4300/25/7/964

This paper introduces a variational formulation of natural selection, paying special attention to the nature of ‘things’ and the way that different ‘kinds’ of ‘things’ are individuated from—and influence—each other. We use the Bayesian mechanics of particular partitions to understand how slow phylogenetic processes constrain—and are constrained by—fast, phenotypic processes. The main result is a formulation of adaptive fitness as a path integral of phenotypic fitness. Paths of least action, at the phenotypic and phylogenetic scales, can then be read as inference and learning processes, respectively. In this view, a phenotype actively infers the state of its econiche under a generative model, whose parameters are learned via natural (Bayesian model) selection. The ensuing variational synthesis features some unexpected aspects. Perhaps the most notable is that it is not possible to describe or model a population of conspecifics per se. Rather, it is necessary to consider populations of distinct natural kinds that influence each other. This paper is limited to a description of the mathematical apparatus and accompanying ideas. Subsequent work will use these methods for simulations and numerical analyses—and identify points of contact with related mathematical formulations of evolution.
关键词:自组织,非平衡,变分推论,贝叶斯,特殊分割,进化,自然选择,马尔科夫毯,重整化群
摘要
本文引入了一种自然选择的变分公式,特别关注“事物”的本质以及不同“种类”的事物如何相互区分和影响。我们使用特定分区的贝叶斯力学来理解缓慢的系统发育过程如何约束和被快速的表型过程所约束。主要结果是将适应性适合度表述为表型适合度的路径积分。在表型和系统发育尺度上,最小作用路径可以分别被解读为推理和学习过程。在这种观点下,表型在其生成模型的指导下主动推断其生态位的状态,而该模型的参数通过自然(贝叶斯模型)选择进行学习。由此产生的变分综合具有一些意想不到的方面。最值得注意的是,无法直接描述或建模同种群的个体。相反,必须考虑相互影响的、不同自然种类的群体(以及嵌套的元群体)。本文仅限于对数学工具和相关思想的描述。后续工作将使用这些方法进行模拟和数值分析,并确定与相关数学进化公式的联系。
引言
本文试图展示,当将自由能原理应用于具有时间尺度分离的动力系统时,理论进化和(神经)生物学的一些基础是如何出现的。它提供了一种技术性和通用的处理方法,具有最少的假设或对特定生物过程的承诺。因此,它不借用进化理论中的既定构造,而是试图展示这些构造在自由能原理的视角下是如何作为涌现属性出现的。在后续工作中,我们将使用由此产生的变分综合来考虑既定的和当前的进化理论。本文的目的是介绍一种形式化方法,可能有助于解决关于进化或发育动力学的具体问题,使用在其他领域应用自由能原理时已被证明有用的分析或数值方法。
进化时间中物种发展和多样化的关键系统发育过程被称为自然选择,被一些人视为生物学的主要组织原则。虽然达尔文将自然选择概念化为遗传、变异和选择[1,2],但他只详细阐述了选择,因为遗传和变异的机制在当时尚未被理解[3,4]。20世纪初,孟德尔遗传学与自然选择的整合,随后在20世纪中期与分子遗传学的整合,形成了新达尔文主义,即现代综合理论。现代综合理论与20世纪70年代提出的自私基因假说一起,提供了一个以基因为中心的达尔文进化观,主导了当前的视角。
这种以基因为中心的进化生物学观点在很大程度上与影响生物体发育时间的表型过程脱节[7,8]。Lewontin将这种遗传与表型理解之间的脱节描述为该领域面临的主要挑战[9]。尽管在随后的五十年中取得了一些进展,但生物学家们仍然强调在多尺度上将生物学建模为一个单一整合过程的差距[10–13]。我们所说的“以基因为中心”不仅指序列进化的理论[14],还包括基因(或基因的汇总统计)在表型进化描述中显式或隐式地发挥的核心作用。例如,Price方程[15]和与之密切相关的进化博弈论中的复制者方程[16]表达了某些表型特征随时间变化的平均值之间的关系。这隐含地依赖于该特征与代际传递的遗传物质之间的映射,但重点在于基因的表型效应,而不是等位基因本身。同样,适应性动态方法[17]通常关注表型层面的生态相互作用。现代对表型特征的关注反映了表型与其环境之间相互作用在决定适应性方面的重要性。然而,重要的是要注意,这种观点并不与遗传继承的核心作用相冲突,而是隐含地根据表型特征对基因型的适应性进行评分。
生物体继承了一组生长和发育的指令(即扩展的基因型),这些指令本质上是对生态位环境(包括温度、湿度、化学成分、可用资源、统计模式等)的预测。解读“适者生存”这一短语,可以理解为“适者”是指那些最适合其生态位环境的生物体[18]。例如,来自温泉的细菌在寒冷的池塘中无法茁壮成长,因为其基因型无法准确预测生态位环境。因此,“适者”必须是相对于生态位的。一系列缓慢的系统发育过程选择了一种扩展的基因型,该基因型增强了生物体在相应物种预期所在的环境中的生长和繁殖能力。
生物体还可以通过适应(即行动、学习和发育)在其一生中“适应”其生态位。例如,一种通常依赖硫还原生存的细菌,但在缺硫环境中也能通过减少氧气生存,将在缺硫环境中比其依赖硫的竞争者存活更长时间。这样的生物体可以通过学习和优化氧气减少来适应其环境,从而增加其对生态位的适应性,并隐含地增加其在高氧环境中的繁殖能力。通过这种方式,表型过程可以在发育时间内增强生物体对其环境的适应性,并通过繁殖,表型过程可以在进化时间(即代际之间)增强适应性。由于生物体的(扩展)基因型产生表型,进化时间上的系统发育过程也会影响发育时间上的表型(个体发育)过程。
在这里,我们通过一个数学框架将进化和发育结合起来,该框架统一了缓慢的多代(系统发育)过程与单一生存期内的表型(发育和行为)过程,使用相同的原理应用于每个时间尺度。由此产生的进化变分描述侧重于进化时间尺度上的系统发育过程与表型生存期内的个体发育过程之间的耦合。原则上,这种相对抽象的处理对特定机制保持中立,并且可以应用于生物和非生物系统,前提是它们的“适应性”取决于生命周期内的事件,并且这种适应性影响代际尺度的动态。这突出了由于时间尺度的隐含分离而产生的循环因果关系[19]。
简而言之,我们将缓慢的系统发育过程(自然选择)视为对快速表型过程(行动选择)施加自上而下的约束(即自上而下的因果关系)。反过来,表型与其环境的主动交换提供了被自然选择同化的证据(即自下而上的因果关系)。这种多尺度的本体论描述通过将系统发育和表型过程描述为选择具有最大适应性的(扩展)基因型和(扩展)表型[7,20]来获得许可;其中适应性通过概率密度函数的(自由能)泛函来量化(泛函是函数的函数)。
这种表述意味着自然选择和代际内的行动选择都可以描述为更新概率信念:即学习和推理[21–23]。这使得自然选择可以被解释为贝叶斯模型选择[24–26],而行动选择则成为推理规划[27–30]——两者(看似)优化相同的适应性泛函:即贝叶斯模型证据或边际似然。这种(多尺度)叙述版本可以从基因型(自下而上)或表型(自上而下)的角度来讲述:
从基因型和表型的角度看进化,我们可以将进化视为代际之间的信念更新,其中所讨论的信念对应于扩展基因型(以下简称基因型)上的概率密度。这与以代际间等位基因频率变化为基础的进化处理方法类似[15]。这种信念更新可以通过基因型在后续代际中出现的概率来描述,其方式取决于当前代际中扩展表型(以下简称表型)的边际似然。基本思想是,基因型参数化或编码了一个生成模型,表型使用该模型来推断和作用于其环境。从这个角度来看,进化可以被视为测试假设——以生成模型的形式——即这种表型可以在该环境中持续存在。这些假设通过将表型暴露于环境中进行测试,如果表型“偏离了持续表型的路径”,则会被拒绝。通过这种方式,进化过程选择关于持续表型的模型或假设,这些模型或假设具有最大的证据。简而言之,自然选择就是贝叶斯模型选择[25,26,31,32]。
从表型的角度来看,每个同种个体都配备了一个生成模型和初始/先验/继承的条件,这些条件支撑了其表观遗传、发育和行为轨迹。表型的状态在其一生中通过状态空间描绘出一条路径。这些表型状态编码或参数化了关于环境状态的信念——以及表型的行为方式。这导致了主动推理和学习,表型试图理解其世界,并通过信念更新过程实现它认为自己是什么样的生物。我们在这里使用“思考”一词是宽松的(拟人化的),并不意味着所有生物体都有明确的存在性思考。更准确地说,我们的意思是这些实体表现得好像它们隐含地持有关于它们是什么类型的实体的信念(例如,元贝叶斯立场,如[33]中所考虑的)。凭借其遗传禀赋,它认为自己是一个持续的表型。如果它配备了一个良好的环境生成模型[34],它将持久存在并提供其“适应”环境的证据(即适应性);即,由缓慢的进化过程积累的证据(即边际似然)。
接下来是一个正式版本的叙述,它借鉴了统计物理学中的一些标准结果。由此产生的综合既密集又微妙,因为它试图使用相同的原理来解释表型与其生态位之间的耦合,以及表型和系统发育过程之间的耦合。具体来说,我们描述了一种变分综合,它借鉴了随机动力学的路径积分公式、重整化群的工具以及庞加莱递推定理。由此产生的综合将自然选择和行动选择视为在缓慢(系统发育)和快速(表型)时间尺度上展开的两个随机动力学的涌现属性。这种综合的关键方面是,这两个过程都有一个吸引集(即回拉吸引子)或稳态解[35]。这些解分别对应于进化稳定状态[36]和系统发育和表型状态上的非平衡稳态密度[37]。通过用系统发育编码的生成模型——即表型及其环境路径上的联合密度——来描述这些稳态,可以恢复关于两个过程如何相互告知的本体论描述。
本文中提出的许多分析遵循[21–23]中的方法,这些方法也借鉴了重整化群的概念。这些处理方法基于可分离时间尺度的涌现,并将每个尺度上的动力学解释为类似于推理和学习过程。关键区别如下。[21]中的重整化依赖于随着学习而减少的自由度数量,而我们的公式依赖于作为重整化一部分的分区操作。[21]中变量之间的时间尺度差异源于所使用的神经网络结构,而它是我们选择的重整化中隐含的约简操作的直接结果。最后,我们将分析扩展到有感知能力的表型,其动力学可以明确地解释为贝叶斯信念更新。
变分公式
我们假设进化可以用两个随机动力系统来描述,分别描述系统发育(进化)和表型(特定)过程。其思想是使用重整化群的工具[38–40]将这两个系统耦合起来。这意味着从快速表型动力学到进化时间尺度上的缓慢系统发育动力学的映射。
这种映射基于维度约简和粗粒化或分组操作符(RG代表重整化群),它将表型路径π映射到进化尺度上的相关变量

。从这个角度来看,自下而上的因果关系仅仅是应用一个约简操作符

,以选择变化非常缓慢的变量。自上而下的因果关系涉及根据缓慢的基因型变异来指定快速表型轨迹,这些变异根据它们相互施加的影响被分组为群体。快速和慢速变量的隐含分离可以被解读为绝热近似[41],或者在协同论的意义上,分别解读为快速、动态稳定和慢速、动态不稳定模式[42]。这种分离也可以从向量几何公式的角度来看[43]。请参见[21],他们通过类比物理学中的时间膨胀仔细处理了时间尺度的分离。直观地说,这种类比基于这样的思想:时间可以重新缩放,取决于我们是站在快速移动还是缓慢移动的事物的角度。
最后一步是将快速和慢速层次上的动力学表达为具有相同形式的功能。这些功能是概率密度的函数,可以被解读为贝叶斯信念。以这种方式表达动力学允许我们将表型动力学解释为在依赖于扩展基因型的生成模型下的主动推理和学习。这也允许我们将系统发育状态解释为在进化时间尺度上推断环境状态。至关重要的是,扩展基因型为其表型积累证据;从而表现出一种贝叶斯模型选择或结构学习的形式[25,44–48]。对于类似的热力学处理,请参见[22],他们改进了[49]的自由能公式并进行了扩展。在学习动力学的背景下,[50]使用最大熵原理[51,52]推导出了热力学自由能,后来应用于研究进化现象学模型[22]。请参见[50,53,54],以进一步讨论神经网络和信息论方面的内容。
特定分区
这个公式中有许多移动的部分,因为它试图解释“事物”[55]的行为,以及这种行为如何在嵌套的(即发育和进化)时间尺度上支撑“种类”(例如个体和群体)的涌现。
我们将使用

来表示时变状态的历史或路径。这些路径由状态相关流

确定,参数

包括初始状态

。这些参数表示(自然)种类。

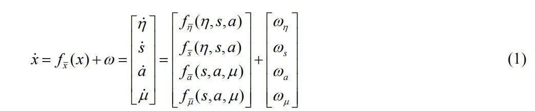
接下来的所有内容都基于状态的特定分区。特定分区被认为是谈论“事物”(例如“表型”或“群体”)所必需的。简而言之,特定分区使得某个“事物”的(内部)状态能够通过(感官和活动)边界状态与所有其他“事物”的(外部)状态分离开来[56–60]。在没有这种分区的情况下,无法区分表型与其外部环境——或群体与环境。在这种设置中,外部状态只能影响自身和感官状态,而内部状态只能影响自身和活动状态:请参见图1,了解表示内部、外部和边界状态之间耦合的影响图:


- 外部状态:对外部环境中的感官和活动状态做出响应。这些是表型的外部环境状态:例如,生态位、身体或细胞外空间,具体取决于分析的尺度。
- 感官状态:对外部和活动状态的波动做出响应:例如,化学感受、本体感受、拦截等。
- 活动状态:对感官和内部状态做出响应,并介导对环境的行动;无论是直接还是通过感官状态间接进行:例如,肌动蛋白纤维、运动行为、自主反射等。
- 内部状态:对感官和活动状态做出响应:例如,转录、细胞内浓度、突触活动等。
这些稀疏耦合状态的演化可以表示为朗之万或随机微分方程;即,高维、非线性、状态依赖的流加上独立随机(维纳)波动,ω,其方差为2Γ:



原则上,可以采用其他分区方案。鉴于许多此类方案也依赖于识别动态变量之间的稀疏耦合 [68,69],选择不同的分组算子并不会改变本文的一些关键结果。替代分区的潜在缺点包括失去事物与其环境之间的明确关系——即“行动-感知循环” [70] ——以及这种关系在推理和学习公式中的作用。像 [69] 中提到的方法,仔细关注(主动)输入、(外部)状态、(感官)输出以及接收输出并生成输入的(内部)控制器之间的关系,与我们采用的分区方法大致相同。
“外部”和“内部”这两个术语提供了有用的直觉,但在空间意义上过度解读这些标签是值得警惕的。例如,似乎有些“外部”变量,如环境温度,可能直接影响“内部”变量,如细胞内的温度。然而,这并不是思考该系统分区的恰当方式。要么我们必须假设存在一个中介变量(例如,细胞膜内的温度),要么我们必须将内部温度视为感官变量,它本身影响内部变量,如酶促反应的速率。目前,关于如何适当思考生物学中特定分区的文献正在涌现,包括神经网络 [71] 或脊髓反射弧 [72] 的内部结构。
整体动力学与最小作用量路径
为了描述表型或系统发育尺度上的动力学,我们首先需要复习统计物理中的一些标准结果,这些结果为任何尺度上的轨迹或路径提供了一个概率性描述。这种描述涉及状态x(t)的自信息、广义状态

表示广义概念,而2T是广义随机波动的协方差:

广义状态提供了一种方便的方式来表达拉格朗日量中的最小作用路径。

第一个等式类似于第一类拉格朗日方程,确保广义状态的运动是广义运动状态。或者,它也可以被解读为在移动参考系中对拉格朗日量进行梯度下降(第二个等式)。当拉格朗日量是凸函数时,对该拉格朗日量进行广义梯度下降的解(第三个等式)必然会收敛到最小作用路径。用粗体表示最小作用路径:

收敛性由拉格朗日量的二次形式(即凸性)保证,这种凸性继承自对随机波动的正态假设。这有时被描述为在随广义运动状态移动的参考系中收敛到最小作用路径 [76]。
我们还可以使用广义状态的拉格朗日量来表达特定分区所隐含的条件独立性。由于不存在同时依赖于内部状态和外部状态的流动,当以边界路径为条件时,外部路径和内部路径是独立的:

换句话说,边界路径为内部路径提供了一个马尔可夫毯。我们将在后面使用这一结果来阐明在有感知行为(即主动推理)中,主动动态和感官动态的作用——即表型的主动推理。首先,我们必须建立一个关于表型集合或群体的形式化框架。在这里,我们借鉴了重整化群的工具。
不同种类的事物
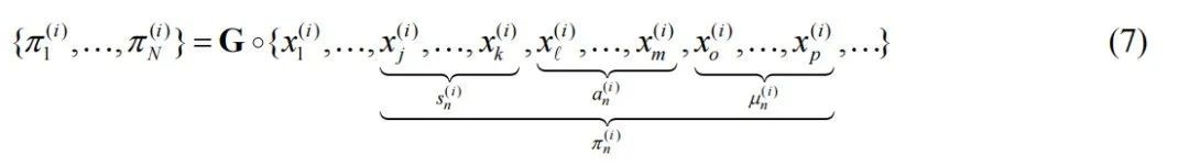
为了处理多种“事物”(例如,粒子、表型和群体),我们首先引入一个分组算子 G ,它根据特定分区所隐含的稀疏耦合,将第 i 层分析中的状态划分为N 个粒子。换句话说,我们将状态分组为粒子集合,其中每个粒子都有自己的内部状态和边界状态。稍微滥用一下集合构造符号:

分组算子意味着给定粒子的外部状态是影响它的其余粒子的(边界)状态。有关具体示例和数值分析,请参见 [55]。这使我们能够用每个粒子的感官状态(取决于其他粒子的边界状态)和自主状态(仅取决于所讨论粒子的状态)来表达每个粒子的动态:

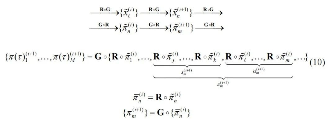
在这一点上,我们暂停一下,考虑特定集合中的状态必须是某个“事物”的状态:即较低尺度上的粒子的状态。这意味着状态必须是构成下一尺度(例如,系统发育状态)的粒子(例如,表型状态)的状态。这种递归的真理可以用分组算子G(创建粒子)和约简算子R(为下一尺度挑选出某些特定状态)来表达:

这两个算子的组合可以被理解为从一个尺度的粒子状态映射到下一个尺度,或者等价地,从一个尺度的特定状态映射到下一个尺度。简而言之,创建粒子的粒子,即群体。参见图2。


约简算子 ( R) 通常选择相关变量,这些变量的缓慢波动为下一尺度的动态提供了背景。在这里,( R ) 简单地恢复了粒子的状态,这些状态是时间不变的,或者随时间缓慢变化(即初始状态和流动参数)。这实现了一个时间尺度的分离,使得从下一个尺度的角度来看,粒子的生命周期(例如,表型)在一个瞬间展开(例如,进化)。时间尺度的分离可以在没有分组(分区)算子的情况下实现。我们可以简单地将系统投影到其动力系统的雅可比矩阵的特征向量上——实际上,通过系统的线性(或非线性)混合来获得快慢坐标。然而,我们最终只会得到快慢连续变量,而这些变量并不具备系统中个体、表型或群体的特征。简而言之,分组算子是识别快慢“事物”的关键——而不是仅仅识别动力系统的快慢坐标。
简而言之,重整化群算子创建了粒子的粒子,只保留了变化非常缓慢的特定变量,然后根据它们的稀疏耦合对它们进行分组。这意味着粒子的大小从一个尺度到下一个尺度逐渐增加——这是由于较低尺度上粒子的分组——并且变化得更慢——这是由于时间约简带来的粗粒化。
在进化背景下,上述朗之万形式中隐含的稳态解的存在意味着表型动态具有拉回吸引子。
这意味着它们的路径将返回到先前占据状态的邻域。换句话说,它们的“生命周期”将与表型状态空间中的某个庞加莱截面相交(可能多次)。我们将这种交点视为持久性的数学图像,它由进化时间中任意点的流动参数所支持。
在系统发育尺度上,我们将表型划分为群体,基于哪些表型相互影响。在这个缓慢的尺度上,状态可以被解读为表征在下一尺度上具有特定状态的“事物”的“种类”。因此,我们将这一层次的状态称为(自然)种类;需要注意的是,所讨论的“事物种类”在快速尺度上不会发生变化。我们现在可以重新审视系统发育尺度上的特定分区,注意到为了群体的存在,它必须有一个特定的分区。在这里,一个群体对应于一组特定的种类(即感官种类和自主种类):
种类:

这些包括外部种类、感官种类、主动种类和内部种类。
外部种类:群体外的粒子或表型,它们的变化是自身、感官种类和主动种类的函数:例如,从分子到文化层面的生态位构建的目标,具体取决于分析的尺度 [77,78]。
• 感官种类:介导外部种类对所讨论群体内部成员的影响:例如,营养物质或猎物。
• 主动种类:介导内部种类对外部种类的影响:例如,介导生态位构建的代理,从分子到文化层面,具体取决于分析的尺度。
• 内部种类:影响自身并对感官种类和主动种类的变化做出响应。
这完成了我们的形式化设置。接下来,我们考虑快速表型动态与缓慢系统发育动态之间的耦合。与其他自由能原理的应用一样,这种耦合作为任何具有进化稳态的系统发育的属性而出现。换句话说,这里的想法是识别系统存在的属性,而不是识别支持存在的属性。我们将看到,这些涌现的属性非常类似于自然选择。
为了将特定分区专门化为自然选择,我们将自主(主动和内部)种类与构成代理群体的(扩展)基因型相关联,并注意到代理不需要属于同一等价类——它们只是由于定义其分组为群体的稀疏耦合而相互作用。例如,一些代理可以是动物,而另一些代理可以是植物。
在系统发育的尺度上,一个智能体是一个特定群体中的自主物种。在表型尺度上,主体具有特定的(表型)状态,其动态或路径取决于其(基因型)种类。为了便于表示,我们将处理一个单一群体,其中第n个因子a((+1)的表型状态将由x表示(即去掉图2中的m)。有了这个形式体系,我们可以用下面的引理来描述表型和系统发育动力学之间的耦合:


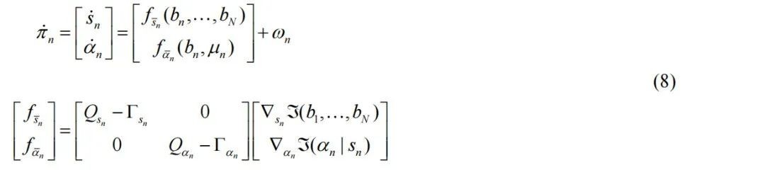
代理的自主动态可以被表述为对拉格朗日量的梯度下降,其路径积分(即作用量)对应于负适应度。这个拉格朗日量取决于基因型提供的流动参数(和初始状态)。然后,代理的基因型可以被表述为对负适应度的随机梯度下降。这强调了适应度梯度(选择)与与选择无关的随机项(漂变)之间的关系:

形式上,表型尺度上的广义梯度下降对应于贝叶斯滤波或推断 [76],它最大化表型路径的边际似然。这几乎是同义反复的,因为它表明,给定某些基因型,偏离最可能的发育轨迹的可能性很小。这里还有一个微妙之处,即拉格朗日量作为(负)李雅普诺夫函数,是感官状态的函数。其含义是,梯度不是静态的,而是根据环境在生物体发育过程中与其相互作用的方式而变化。系统发育尺度上的随机梯度下降对应于通过随机梯度朗之万动力学的贝叶斯学习 [79],并配备了螺线管混合 [80]。
在这种贝叶斯解读中,表型动力学根据外部动力学如何产生表型动力学的概率模型来推断它们的外部动力学。鉴于下面的量表提供的贝叶斯模型证据(例如扩展表型),代际遗传变化可以被视为学习生成模型的参数。该读数依赖于对累积证据p进行评分的动作(即,负适合度

对于表型的生成模型,

由扩展的基因型x编码。这一证据也被称为边际可能性,因为它在外部动力上边际化;,即其他代理。

将(14)代入(13)得到(12)中的缓慢系统发育动态(忽略某些螺线管项)。
对于快速的表型动态,我们假设随机波动消失,以描述具有经典(即拉格朗日)力学的表型,即受保守或螺线管动态主导的表型。在小波动的极限下,自主路径成为最小作用路径;即当波动取其最可能的零值时。从(4),最小作用自主路径如下(设

):

关于方程11中拉格朗日函数的生物学作用的直观理解是,它指定了已达到稳态的系统的状态(或轨迹)。当生理测量值在稳态范围内时,该函数将返回一个较小的值,而随着偏离这些范围的程度增大,返回的值将越来越大。对缓慢(基因型)变量的条件意味着不同种类的生物可以允许不同种类的稳态范围。方程11中(快速)作用量与(缓慢)拉格朗日量之间的关系意味着,维持稳态的表型轨迹与更有可能被复制的基因型相关联。在某种程度上,这是一种简化。更准确地说,拉格朗日量倾向于(即其积分值较小)那些达到复制机会的轨迹——而成功维持稳态只是其中的一个方面。
抑制随机表型波动并不排除游走轨迹。事实上,它突出了详细平衡的丧失和伴随的非平衡态,这些特征表征了表型和种群动态 [81–83];例如,表型尺度上的生物节律和混沌振荡 [84–88] 或系统发育尺度上的红皇后动态 [83,89,90]。具有详细平衡性质的系统是时间反转对其动态没有定性影响的系统。其含义是,具有零螺线管流的系统具有详细平衡,而具有非零螺线管流的系统则不具有。螺线管流的存在意味着时间反转也会导致该流的方向反转。请参见 [31],作为达尔文过程中赫尔姆霍兹-霍奇分解的相对较新的例子,以及 [80] 作为在此背景下随机混沌的通用处理。此外,分组算子在每次应用时不需要返回相同的分区。这是因为分组算子由下一尺度上粒子之间的稀疏耦合决定,而这种耦合本身可能会随着某些粒子被“屏蔽”而发生变化 [91];例如,在细胞分裂、多细胞组织和发育相关的特定分区的自组装过程中 [57]。从数学上讲,这允许在每个尺度上存在游走集(即分区),其中适应度梯度仍然定义良好,因为它们继承自下一尺度的动态。
隐含在重整化群构造中的是变分选择可以在多个尺度上操作的概念。换句话说,尽管以自然选择和进化为框架,上述变分公式并不局限于适合复制或繁殖的时间尺度分离。任何满足适应度引理(引理1)的选择机制原则上都将受到相同的选择力学。常见的例子可能包括神经网络中权重的优化及其结构学习 [45,76,92]。在生物学背景下,这可能对应于具有明确(分离)时间尺度的发育阶段。最后,我们更仔细地审视表型动态,并解释为什么它们可以被理解为有感知的行为。
有感知能力的表型
通过对表型动态的本体论解释——即有感知行为或主动推理——可以通过将拉格朗日量表达为变分自由能来实现。为了清晰起见,我们将去掉下标和上标(并条件于扩展基因型 ( x )),以专注于给定表型的广义状态。

这种变分自由能可以通过几种方式重新排列。首先,它可以表示为能量约束减去变分密度的熵,这赋予了“自由能”这一名称 [93]。在这种分解中,最小化变分自由能对应于在期望拉格朗日量最小化的约束下的最大熵原理 [51,94]。能量约束是外部状态和感官状态的边际密度的泛函,扮演生成模型的角色(即由扩展基因型参数化);即关于原因(外部动态)及其结果(自主动态)的联合密度。其次——在统计解读中——变分自由能可以分解为特定路径的(负)对数似然(即准确性)以及外部路径的后验密度与先验密度之间的KL散度(即复杂性)。最后,它可以写成负对数证据加上变分密度与条件(即后验)密度之间的KL散度。在变分贝叶斯推断 [95] 中,负自由能被称为证据下界或ELBO [96–98]。
证明:稀疏耦合——支持特定分区——意味着自主路径(即广义状态)仅依赖于感官路径。这意味着存在从最可能的自主路径(具有足够高阶广义运动)到外部路径的条件密度的(确定性和单射)映射,其中两者都以感官路径为条件。这种单射意味着我们可以将外部路径的条件密度视为由内部路径参数化。我们将其称为变分密度(从(6)中注意到内部路径在条件上独立于外部路径):

注释:自由能引理(引理2)将负适应度与变分自由能相关联,使得表型行为将表现为追求最小自由能或最大适应度的路径。由于变分自由能是证据对数的上界,追求最大适应度可以被解读为自我验证 [99]:即主动寻求进化赋予的生成模型的证据。简而言之,自主动态(似乎)在生成模型下主动推断外部状态,其参数通过最小化变分自由能的路径积分(似乎)被学习。
变分自由能的函数形式赋予了自主动态的目的论解释;内部路径可以被解读为关于外部状态的(近似)贝叶斯信念的充分统计量或参数,而主动路径将(似乎)改变外部状态的后验以“适应”内部(贝叶斯)信念。换句话说,主动动态将看起来像是在试图实现内部表征的预测。一个补充解释继承了变分自由能分解为复杂性和准确性。最小化复杂性意味着广义内部状态编码的关于外部状态的贝叶斯信念尽可能接近先验信念,而广义主动状态将看起来像是在改变感官状态以实现这些信念。这些关于感知和行动的解释提供了一个基本但相当有表现力的主动推理公式。例如,上述自由能公式已被用于模拟多种有感知行为,从形态发生 [100],通过动作观察 [101],到鸟鸣 [102]。
尽管这里没有展开,但重整化群构造意味着我们可以将相同的论证应用于缓慢尺度上的自主种类——即代理。换句话说,平均而言,内部种类的扩展基因型开始编码关于外部种类的贝叶斯信念,而主动种类将看起来像是在通过生态位构建 [77,103–105] 试图实现这些信念。由于变分自由能的最小化,我们隐含了一个最大熵原理,这使我们通过 [49] 回到 [21,22]。
讨论
上述分析的一个见解是,群体不一定是等价类的商集。换句话说,没有任何假设认为任何给定的粒子与其他粒子共享表型或基因型特征。这有两个方面的有趣之处。首先,它表明将群体视为同种个体的等价类可能是不够的,因为群体包括所有相互作用以维持其特定分区的(自然)种类。这个群体的组成部分可以从大分子到狨猴。此外,即使某些代理共享相同的基因型,它们的表型也可以以不同的方式专门化,以最小化它们的联合变分自由能:参见 [100] 在形态发生背景下的具体示例。这要求一种本质上共进化的视角,强调共依赖性和共创造 [20,106–108]。然而,等价类的出现需要解释。一个潜在的答案是粒子之间的广义同步,因为它们找到了它们的联合变分自由能最小值——并变得相互可预测;例如,[58,102]。在进化背景下,可以想象这会导致趋同进化或物种形成(Luc Ciompi,个人交流;Ciompi, L. Synergie und Schizophrenie - und noch viel mehr. In Kriz, J, Tschacher, W. Synergetik als Ordner. Die strukturelle Wirkung der interdisziplinären Ideen Hermann Hakens. Pabst Science Publishers, Lengerich, Germany, 2017, pp. 15-20)。
这里提供的生物进化和发育的综合是一个广义综合的例子:在自由能原理下,适用于所有种类的事物。这种综合可以被解读为生成模型自生成地生成实体,然后使用模型与生态位的“适应性”作为证据来更新模型,这是一个在图3中总结的循环过程。

实际上,我们正在用以下协议描述进化发育过程(其中前两项对应于图3中的右箭头,后两项对应于左箭头):
● 首先,通过从某个初始密度中采样流动参数和初始状态(即扩展基因型)来生成粒子集合(即扩展表型)。
● 对于每个粒子,使用广义贝叶斯滤波(即主动推理)找到最小作用路径。
● 经过适当的时间后,评估变分自由能的路径积分(即作用量)以提供适应度泛函。
● 使用作用量上的随机梯度下降(即达尔文进化)更新流动参数和初始状态。
如果这个协议在足够长的时间内重复,假设这个拉回吸引子存在 [35],它将收敛到一个吸引集。在统计力学中,这将是非平衡稳态,而在理论生物学中,它将对应于进化稳态。
局限性
与大多数自由能原理的应用一样,变分描述本身并不提供过程理论。相反,它从假设存在非平衡(进化)稳态开始,然后描述系统必须展现的动态。这使得可以提出各种过程理论作为关于多尺度生物系统的具体假设。例如,上述公式中的遗传变异来自赫尔姆霍兹-霍奇分解或向量微积分基本定理。然而,随后的随机梯度朗之万动力学并未指定产生这种动态的特定过程,例如 [109]。有许多候选者可以考虑:例如,简单的拒绝采样或更复杂的遗传算法,它们为两性繁殖提供了合理的解释 [110,111]。评估所需梯度的一种计算上有效的方法——例如用于模拟人工进化的梯度——可以调用贝叶斯模型约简 [48,112]。无论复制或繁殖过程如何,根据当前分析,它必须在“适应度”上符合带有螺线管混合的随机梯度流 [83,89,90]。
将变分处理与过程理论联系起来的问题也是其他领域面临的挑战,特别是在认知科学领域——其中的困难在于将我们大脑解决的优化问题与支持其解决方案的解剖学 [113] 和生理学 [114] 机制联系起来。在神经科学中,这种联系取决于拉格朗日量的形式,从拉格朗日量中,方程16的动态意味着特定的连接结构和电生理反应。这意味着可以提出不同的拉格朗日量作为替代假设,这些假设可以根据它们预测的测量结果进行评估。类似地,方程12中的不同拉格朗日量将对个体在其一生中遵循的轨迹以及群体在几代之间经历的变化产生影响。
作为一个例子,考虑一种暴露于新抗生素的细菌培养物。在这种情况下,自主状态可能包括对细胞壁维持和抗生素耐药性(例如,β-内酰胺酶)至关重要的mRNA和蛋白质的表达。感官状态可能包括细胞内抗生素浓度。我们可以假设一个拉格朗日量,它对完整的细胞壁赋予高概率,而对显著水平的细胞内抗生素赋予低概率。在没有抗生素的情况下,细菌在其生命周期内(即在复制之间)将追求最小作用路径。然而,抗生素通过破坏细胞壁完整性和导致意外的高细胞内抗生素浓度,导致偏离最小作用路径。方程12的缓慢动态可能通过改变等位基因频率,改变拉格朗日量,使得更高的β-内酰胺酶浓度被预期,从而将最小作用路径改变为一条降解细胞内抗生素的路径。这种叙述是对抗生素耐药性最简单机制的重新表述,但以这样一种方式表述,即拉格朗日量的特定选择在两个时间尺度上导致微妙不同的轨迹。
换句话说,从经验科学的角度来看,这种自然选择的变分公式的首要贡献是,可以假设拉格朗日量的替代形式。拉格朗日量的每个选择不仅会对生理和发育时间尺度上的动态产生影响,还会允许对系统发育时间尺度上的进化进行预测。还值得注意的是,这里提出的自然选择描述,其中基因型进化依赖于表型路径的作用,仅适用于满足变分适应度引理(引理1)的系统:即代理的基因型的似然对应于其表型轨迹的似然。虽然这是一个合理的假设——直观上与达尔文进化一致——但我们没有研究这一假设成立的条件。这意味着通过研究变分适应度引理(引理1)成立的随机系统类型,可以进一步发展本文提出的思想。可以认为,引理1至少必须在那些基因型在随机限制内转化为表型并保持等价性的系统中成立。例如,基因表达是基因型产生表型的最基本层次,而这种从基因型到表型的映射是发育生物学研究的过程理论的主题。从目的论的角度来看,人们可能会进一步认为,主动推理对于在转化过程中保持高度的等价性以及保持基因型和表型之间的对应关系是必要的。
有人可能会建议,引理1以及这里描述的形式化的更广泛范围,可能适用于那些实体群体进行代际复制(这里使用重整化操作建模)的系统,以及那些在更快速度上进行快速适应(例如,发育、学习、行为,使用主动推理建模)的实体。这两个层次可以例如模拟基于基因组的代际进化如何为有机体的分子和行为发育设定初始条件。对于更快的代内尺度,外部状态模型是表型生成模型的物质基础。对于更慢的代际尺度,外部状态通过时间的重整化(约简和分组)过程更新,作为扩展基因型-表型的重整化。
结论
这项工作试图将缓慢的、多代际的系统发育自然选择过程与单生命周期的表型发育过程统一起来。在这种观点中,信息的双向流动发生,因为进化对表型过程施加自上而下的约束,而行动选择提供环境选择的证据(即自下而上的因果关系)。在这种描述中,学习和推理通过在进化时间中通过贝叶斯模型选择更新概率信念,并在发育时间中通过主动推理进行。(扩展)基因型和(扩展)表型的适应度通过最小化相同的自由能泛函来选择;即贝叶斯模型证据或边际似然。
原文链接:
https://arxiv.org/pdf/2303.04898
阅读最新前沿科技趋势报告,请访问欧米伽研究所的“未来知识库”
ccccccc/3jjdqanigjp data-w="800" data-imgfileid="502541377" data-s="300,640" data-ratio="0.49875"src="https://c.quk.cc/5/n6/20nrwdr3kiz.jpg" >
未来知识库是“欧米伽未来研究所”建立的在线知识库平台,收藏的资料范围包括人工智能、脑科学、互联网、超级智能,数智大脑、能源、军事、经济、人类风险等等领域的前沿进展与未来趋势。目前拥有超过8000篇重要资料。每周更新不少于100篇世界范围最新研究资料。欢迎扫描二维码或访问
ccccccc/a1yx0xn3x4q 进入。 截止到12月25日 ”未来知识库”精选的100部前沿科技趋势报告 2024 美国众议院人工智能报告:指导原则、前瞻性建议和政策提案 未来今日研究所:2024 技术趋势报告 - 移动性,机器人与无人机篇 Deepmind:AI 加速科学创新发现的黄金时代报告 Continental 大陆集团:2024 未来出行趋势调研报告 埃森哲:未来生活趋势 2025 国际原子能机构 2024 聚变关键要素报告 - 聚变能发展的共同愿景 哈尔滨工业大学:2024 具身大模型关键技术与应用报告 爱思唯尔(Elsevier):洞察 2024:科研人员对人工智能的态度报告 李飞飞、谢赛宁新作「空间智能」 等探索多模态大模型性能 欧洲议会:2024 欧盟人工智能伦理指南:背景和实施 通往人工超智能的道路:超级对齐的全面综述 清华大学:理解世界还是预测未来?世界模型综合综述 Transformer 发明人最新论文:利用基础模型自动搜索人工生命 兰德公司:新兴技术监督框架发展的现状和未来趋势的技术监督报告 麦肯锡全球研究院:2024 年全球前沿动态(数据)图表呈现 兰德公司:新兴技术领域的全球态势综述 前瞻:2025 年人形机器人产业发展蓝皮书 - 人形机器人量产及商业化关键挑战 美国国家标准技术研究院(NIST):2024 年度美国制造业统计数据报告(英文版) 罗戈研究:2024 决策智能:值得关注的决策革命研究报告 美国航空航天专家委员会:2024 十字路口的 NASA 研究报告 中国电子技术标准化研究院 2024 扩展现实 XR 产业和标准化研究报告 GenAI 引领全球科技变革关注 AI 应用的持续探索 国家低空经济融创中心中国上市及新三板挂牌公司低空经济发展报告 2025 年计算机行业年度策略从 Infra 到 AgentAI 创新的无尽前沿 多模态可解释人工智能综述:过去、现在与未来 【斯坦福博士论文】探索自监督学习中对比学习的理论基础 《机器智能体的混合认知模型》最新 128 页 Open AI 管理 AI 智能体的实践 未来生命研究院 FLI2024 年 AI 安全指数报告 英文版 兰德公司 2024 人工智能项目失败的五大根本原因及其成功之道 - 避免 AI 的反模式 英文版 Linux 基金会 2024 去中心化与人工智能报告 英文版 脑机接口报告脑机接口机器人中的人机交换 联合国贸发会议 2024 年全球科技创新合作促发展研究报告 英文版 Linux 基金会 2024 年世界开源大会报告塑造人工智能安全和数字公共产品合作的未来 英文版 Gartner2025 年重要战略技术趋势报告 英文版 Fastdata 极数 2024 全球人工智能简史 中电科:低空航行系统白皮书,拥抱低空经济 迈向科学发现的生成式人工智能研究报告:进展、机遇与挑战 哈佛博士论文:构建深度学习的理论基础:实证研究方法 Science 论文:面对 “镜像生物” 的风险 镜面细菌技术报告:可行性和风险 Neurocomputing 不受限制地超越人类智能的人工智能可能性 166 页 - 麦肯锡:中国与世界 - 理解变化中的经济联系(完整版) 未来生命研究所:《2024 人工智能安全指数报告》 德勤:2025 技术趋势报告 空间计算、人工智能、IT 升级。 2024 世界智能产业大脑演化趋势报告(12 月上)公开版 联邦学习中的成员推断攻击与防御:综述 兰德公司 2024 人工智能和机器学习在太空领域感知中的应用 - 基于两项人工智能案例英文版 Wavestone2024 年法国工业 4.0 晴雨表市场趋势与经验反馈 英文版 Salesforce2024 年制造业趋势报告 - 来自全球 800 多位行业决策者对运营和数字化转型的洞察 英文版 MicrosoftAzure2024 推动应用创新的九大 AI 趋势报告 DeepMind:Gemini,一个高性能多模态模型家族分析报告 模仿、探索和自我提升:慢思维推理系统的复现报告 自我发现:大型语言模型自我组成推理结构 2025 年 101 项将 (或不会) 塑造未来的技术趋势白皮书 《自然杂志》2024 年 10 大科学人物推荐报告 量子位智库:2024 年度 AI 十大趋势报告 华为:鸿蒙 2030 愿景白皮书(更新版) 电子行业专题报告:2025 年万物 AI 面临的十大待解难题 - 241209 中国信通院《人工智能发展报告(2024 年)》 美国安全与新兴技术中心:《追踪美国人工智能并购案》报告 Nature 研究报告:AI 革命的数据正在枯竭,研究人员该怎么办? NeurIPS 2024 论文:智能体不够聪明怎么办?让它像学徒一样持续学习 LangChain 人工智能代理(AI agent)现状报告 普华永道:2024 半导体行业状况报告发展趋势与驱动因素 觅途咨询:2024 全球人形机器人企业画像与能力评估报告 美国化学会 (ACS):2024 年纳米材料领域新兴趋势与研发进展报告 GWEC:2024 年全球风能报告英文版 Chainalysis:2024 年加密货币地理报告加密货币采用的区域趋势分析 2024 光刻机产业竞争格局国产替代空间及产业链相关公司分析报告 世界经济论坛:智能时代,各国对未来制造业和供应链的准备程度 兰德:《保护人工智能模型权重:防止盗窃和滥用前沿模型》-128 页报告 经合组织 成年人是否具备在不断变化的世界中生存所需的技能 199 页报告 医学应用中的可解释人工智能:综述 复旦最新《智能体模拟社会》综述 《全球导航卫星系统(GNSS)软件定义无线电:历史、当前发展和标准化工作》最新综述 《基础研究,致命影响:军事人工智能研究资助》报告 欧洲科学的未来 - 100 亿地平线研究计划 Nature:欧盟正在形成一项科学大型计划 Nature 欧洲科学的未来 欧盟科学 —— 下一个 1000 亿欧元 欧盟向世界呼吁 加入我们价值 1000 亿欧元的研究计划 DARPA 主动社会工程防御计划(ASED)《防止删除信息和捕捉有害行为者(PIRANHA)》技术报告 兰德《人工智能和机器学习用于太空域感知》72 页报告 构建通用机器人生成范式:基础设施、扩展性与策略学习(CMU 博士论文) 世界贸易组织 2024 智能贸易报告 AI 和贸易活动如何双向塑造 英文版 人工智能行业应用建设发展参考架构 波士顿咨询 2024 年欧洲天使投资状况报告 英文版 2024 美国制造业计划战略规划 【新书】大规模语言模型的隐私与安全 人工智能行业海外市场寻找 2025 爆款 AI 应用 - 241204 美国环保署 EPA2024 年版汽车趋势报告英文版 经济学人智库 EIU2025 年行业展望报告 6 大行业的挑战机遇与发展趋势 英文版 华为 2024 迈向智能世界系列工业网络全连接研究报告 华为迈向智能世界白皮书 2024 - 计算 华为迈向智能世界白皮书 2024 - 全光网络 华为迈向智能世界白皮书 2024 - 数据通信 华为迈向智能世界白皮书 2024 - 无线网络 安全牛 AI 时代深度伪造和合成媒体的安全威胁与对策 2024 版 2024 人形机器人在工业领域发展机遇行业壁垒及国产替代空间分析报告 《2024 年 AI 现状分析报告》2-1-3 页.zip 万物智能演化理论,智能科学基础理论的新探索 - newv2 世界经济论坛 智能时代的食物和水系统研究报告 生成式 AI 时代的深伪媒体生成与检测:综述与展望 科尔尼 2024 年全球人工智能评估 AIA 报告追求更高层次的成熟度规模化和影响力英文版 计算机行业专题报告 AI 操作系统时代已至 - 241201 Nature 人工智能距离人类水平智能有多近? Nature 开放的人工智能系统实际上是封闭的 斯坦福《统计学与信息论》讲义,668 页 pdf 国家信息中心华为城市一张网 2.0 研究报告 2024 年 国际清算银行 2024 生成式 AI 的崛起对美国劳动力市场的影响分析报告 渗透度替代效应及对不平等状况英文版 大模型如何判决?从生成到判决:大型语言模型作为裁判的机遇与挑战 毕马威 2024 年全球半导体行业展望报告 MR 行业专题报告 AIMR 空间计算定义新一代超级个人终端 - 241119 DeepMind 36 页 AI4Science 报告:全球实验室被「AI 科学家」指数级接管 《人工智能和机器学习对网络安全的影响》最新 273 页 2024 量子计算与人工智能无声的革命报告 未来今日研究所:2024 技术趋势报告 - 广义计算篇 科睿唯安中国科学院 2024 研究前沿热度指数报告 文本到图像合成:十年回顾 《以人为中心的大型语言模型(LLM)研究综述》 经合组织 2024 年数字经济展望报告加强连通性创新与信任第二版 波士顿咨询 2024 全球经济体 AI 成熟度矩阵报告 英文版 理解世界还是预测未来?世界模型的综合综述 GoogleCloudCSA2024AI 与安全状况调研报告 英文版 英国制造商组织 MakeUK2024 英国工业战略愿景报告从概念到实施 花旗银行 CitiGPS2024 自然环境可持续发展新前沿研究报告 国际可再生能源署 IRENA2024 年全球气候行动报告 Cell: 物理学和化学 、人工智能知识领域的融合 智次方 2025 中国 5G 产业全景图谱报告 上下滑动查看更多