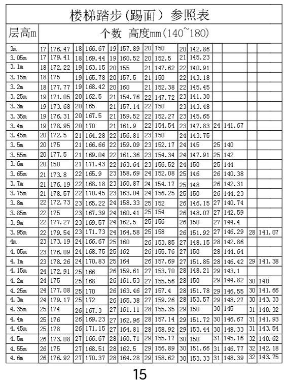
楼梯踏步如何计算
在建筑行业当中,楼梯一直是一个难点,很多初学者甚至一些老师傅都不会计算楼梯的踏步,今天就教大家一个简单易懂的楼梯踏步计算方法,为了更好的让大家学会楼梯踏步的计算,特意给大家整理了两张楼梯踏步的参照表。

楼梯踏步参照表,0.9米至2.95米。

楼梯踏步参照表,层高三米至4米6。
楼梯踏步参照表是如何使用的?首先我们只需要知道楼层的高度也就是层高,然后再对照我们的参照表,看一下需要做多少步?每一步的高度是多少?确定好步数以后我们再算出楼梯的总的长度,是不是感觉很简单。
下面给大家举个例子,例如楼梯的层高为三米,要求楼梯的步数为单数,那么接下来我们就可以利用我们的踏步参照表,在踏步参照表上先找到层高三米步数参照,楼梯的要求步数为单数,对照三米的参照表为单数的步数分别有17步和19步,踏步如果17步,那么每一个踏步的高度为176.47,踏步如果做19步,那么每一踏步的高度为157.89。两个选择我们自然会选19步的,因为19步的踏步高度要平一点,不是那么陡。知道步数以后我们就可以算,楼梯总的长度,如果我们做的是直跑楼梯,那么我们就需要18个脚踩面,也就是楼梯踏步的踩面数。楼梯踏步的宽度一般建议在25~30公分之间,如果每一步的宽度要求做30公分,那么我们就用300×18=5400毫米,也就是楼梯总的程度需要5.4米,如果是做双跑楼梯,我们总的步数就不能选单数了,那我们就要选双数了,因为楼梯的单双是走到休息平台以后为单数,双跑楼梯等于是两个直跑楼梯,每一个直跑的步数为单数,那么两个直跑数加起来它就是双数。如果是双跑楼梯,我们就要选踏步参照表上的双数的,18步和20步,如果楼梯踏步的宽度为30公分我们选总步数18步的,他们所需要的楼梯斜坡,水平长度为2.4米,你学会了吗?
标签:
100
钓鱼图片大全 垂钓者棕榈黄金鲫鱼 释放镜鲤 水和鱼的陆克文下钓鱼钩 一个人在自然背景的蓝色河流上钓鱼的插图 微笑的亚洲男孩和他骄傲的父亲展示了他们抓住的东西 浮漂、鱼线和...
114
现代书坛清流:康震教授的潇洒扎实书法作品 康震教授,一个引领当今书坛的清流,他的书法作品潇洒且扎实,融合了传统与现代的审美。 他的书法作品结构紧凑,给人强烈的视觉冲...
136
谁说猪头肉难炖?这套配方让你轻松掌握,味道香到让人心动! 很多人常说,猪头肉很难炖,总是炖不透、炖不烂。而事实上,只要掌握了技巧和配方,猪头肉炖得香滑可口并不是什么...
197
世界上究竟有鬼还是没有鬼? 世界上究竟有鬼还是没有鬼?英国科学家做了一个实验,结果太意外 当人类的科技前进到一定程度之后,不难发现大多数人,实际上都是无神论主义者,...
145
10款实用而且经典的棒针毛衣花样图解,太漂亮了 *因为小编每天都会更新图解,图解类型比较多、也比较杂,遇到喜欢的,建议小仙女顺手点下收藏,这样可以方便日后查看! 10款实用...
192
《天官赐福》四大害:青灯拐卖、血雨放贷、黑水欠债 《天官赐福》四大害:青灯拐卖、血雨放贷、黑水欠债 《天官赐福》是晋江作者墨香铜臭的作品,看过原著的小伙伴都知道,《...
110
“抗议球员谢场不认真”遭开除?恒大球迷会官方:横幅未经申报,影响极其恶劣 因为在看球时拉起了“赛前未申报横幅”而遭到球迷会开除甚至追回年卡。这样的遭遇,恐怕会比球队...
134
遮天三部曲:九龙拉棺,里面葬的是谁? 遮天三部曲中九龙拉棺,三世铜棺中葬的是谁,绝对是十分重要的坑,而今天就根据三部曲写作顺序来看,三世铜棺设定有何改动! 首先是遮...
128
英雄联盟:职业选手ID中文翻译,走A怪眼高手低,Icon秀身世 每个游戏玩家都有属于自己的ID,对于ID大家是十分重视的,相信大家在起ID时都冥思苦想过它相当于自己另一个名字。中文...
146
渠江:川渝大地的生命动脉 渠江,作为嘉陵江最为壮阔的支流,其源头分为东、西两支,宛如双龙戏珠般点缀于大地之上。东源源自大巴山系的川陕界碑湾,宛如一条巨龙自山峦间腾空...
195
六畜兴旺是哪六畜? 引言: 古代中国有一句古话叫做六畜兴旺,它指的是农业社会中养殖的六种动物。这些动物分别是牛、马、羊、猪、鸡和狗。这六种动物在古代农业社会扮演着重...
114
进击的巨人最终季part2第1集,车、鄂、铠三巨人大战始祖巨人 它来了,它来了,它带着part2来了,进击的巨人最终季Part2已经出了2集,豆瓣9.3分。 利威尔·阿克曼重伤惨重,生死未知。...
133
嘲羊区bot是什么意思干啥的 微博名里网络语言bot意思介绍 最近微博热搜上出了一个“嘲羊区bot”的热词,有网友好奇嘲羊区bot是什么意思?有什么梗在里面吗?下面小编就给大家介绍...
202
盘点中国最大的湖泊 在中国的广袤土地上,分布着众多湖泊,其中一些湖泊规模宏大,壮丽如画,给人们留下了深刻的印象。现在让我们一起盘点中国最大的湖泊。 2. 青海湖青海湖位...
184
可以啪的日本游戏有哪些 可以啪的日本游戏有哪些?日本游戏手游有哪些?想要了解更多日本游戏,一起来看看,今天我们APP178手游网小编就为大家推荐5款可以啪的日本游戏,欢迎下...
112
华语乐坛三座大山,谁站得最高? 要说李宗盛、罗大佑、刘欢这三位爷,就像音乐江湖里的少林、武当、峨眉,各占山头各怀绝技。KTV里随便拎个人出来,都能对着他们的歌嚎两嗓子,...
194
恶心!高速拥堵仨女子排成排,屁股对高速脸对路边,当众脱裤小便 假日高速路上的尴尬:面子与生理需求的拉锯战 国庆长假,高速公路上车龙缓行,令人出乎意料的是,三名女子站...
99
LOL:祖安何时变成了素质区?玩家跟风效仿,艾克无故躺枪 最近各大视频网站里关于英雄联盟的一个梗莫名其妙就火了,这个梗就叫“祖安”。梗的出现十分耐人寻味,祖安原本只是游...
75
4536251打脸薛之谦是咋回事?薛之谦根本不会弹吉他吗 薛之嫌是歌手、制片人、演员、商人、导师等等是一位涉猎很多领域的天才。很小母亲去世,生活在单亲家庭,他个性比较要强,...
131
央企、国企及其下属单位分别都是什么级别? 在我国国企是国有企业的简称,主要分成两大类别,分别是地方国有企业和中央企业,前者归属地方国资委监管,后者归属国务院国资委监...